楕円の方程式メモ

編集権限がないため、アップロードできません。
このページの編集権限については管理者にお問い合わせください

ログイン

  • @wikiでは「ページ」に対してファイルをアップロードします。
  • アップロードファイルが存在する「ページ一覧」はこちら
  • 「楕円の方程式メモ」のアップロードファイル履歴
  • アップロードできる1ファイルの最大サイズは※1MBまで可能です。
    (※それ以上のサイズをアップロードしたい場合は、Wiki管理ページの「ウィキ内共通利用ファイル管理」をご利用ください。)
  • 一度にアップロードできる画像数には制限があります。アップロードに失敗した場合はページの再読み込みなどをお試しください。
  • ウイルスの混入したファイルはアップロードできません。
    ウイルスが検出されたファイルをアップロードされたwikiは凍結対応させていただく可能性があります。
    上記の対策として、ログインユーザのみアップロード可能(初期設定)の設定にするなどをWiki管理設定でご対応お願いいたします。

楕円の方程式メモ」にアップロードされたファイル一覧

ファイル名 更新日時
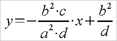
傾きmの接線.png 2008/02/11 (月) 00:28:26
楕円の方程式(基本形).png 2008/02/11 (月) 00:28:13
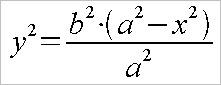
楕円の方程式(変形式).png 2008/02/11 (月) 00:27:50
楕円上の接線の方程式(変形式).png 2008/02/11 (月) 00:26:51
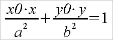
楕円上の点(x0、y0)における接線の方程式.png 2008/02/11 (月) 00:28:39

ツールボックス

下から選んでください:

新しいページを作成する
ヘルプ / FAQ もご覧ください。