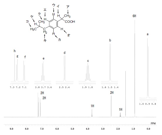
108

問108

図は日本薬局方医薬品イブプロフェン(ラセミ体)の1H-NMRスペクトル(500 MHz, CDCl3)と部分拡大図である。ピークhはCDCl3に含まれる残留CHCl3で、これを7.26 ppmとして化学シフトを示している。次の記述のうち、正しいのはどれか。1つ選べ。


1 拡大図中のピークaは、アとクがそれぞれシングレット(3H分)のシグナルとして観測されたものである。
2 拡大図中のピークbはコのシグナルで、隣接メチンプロトンである ケ とのカップリングによりダブレットとして観測されている。
3 拡大図中のピークcに対応するプロトンは イ である。
4 拡大図中のピークeに対応するプロトンは ケ である。
5 拡大図中のピークf、gは、ウ、エ、オ、力 のシグナルである。



最終更新:2013年06月18日 12:30
添付ファイル