新規作成
新規ページ作成
新規ページ作成(その他)
このページをコピーして新規ページ作成
このウィキ内の別ページをコピーして新規ページ作成
このページの子ページを作成
新規ウィキ作成
編集
ページ編集
ページ編集(簡易版)
ページ名変更
メニュー非表示でページ編集
ページの閲覧/編集権限変更
ページの編集モード変更
このページにファイルをアップロード
メニューを編集
右メニューを編集
バージョン管理
最新版変更点(差分)
編集履歴(バックアップ)
アップロードファイル履歴
このページの操作履歴
このウィキのページ操作履歴
ページ一覧
ページ一覧
このウィキのタグ一覧
このウィキのタグ(更新順)
このページの全コメント一覧
このウィキの全コメント一覧
おまかせページ移動
RSS
このウィキの更新情報RSS
このウィキ新着ページRSS
ヘルプ
ご利用ガイド
Wiki初心者向けガイド(基本操作)
このウィキの管理者に連絡
運営会社に連絡(不具合、障害など)
naganu @ ウィキ
操作ガイド
新規作成
編集する
全ページ一覧
登録/ログイン
naganu @ ウィキ
操作ガイド
新規作成
編集する
全ページ一覧
登録/ログイン
naganu @ ウィキ
メニュー
トップページ
科目別用語集
国家試験過去問題
公式集
ページ編集の仕方
リンク
日本薬局方DL(厚生労働省)
PMDA(医薬品添付文書等
薬ゼミHP
ACD/Labs
今までのアクセス数
-
カレンダー
前月
翌月
日
月
火
水
木
金
土
ここを編集
更新履歴
取得中です。
ここを編集
7
問7
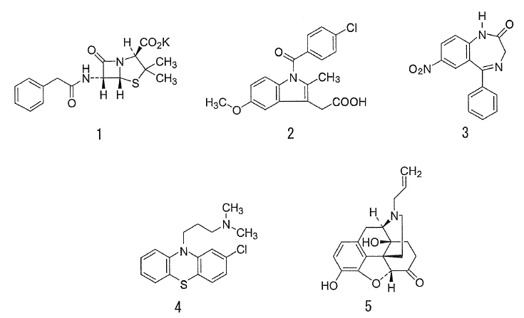
ベンゾジアゼピン骨格を持つのはどれか。1つ選べ。
(画像ありのため保留)
1 ベンジルペニシリンカリウム
2 インドメタシン
3 ニトラゼパム
4 クロルプロマジン
5 ナロキソン
+
解説
1はペナム骨格、2はステロイド骨格、3はベンゾジアゼピン骨格、4はフェノチアジン骨格、5はモルヒナン骨格。
次の問題
「7」をウィキ内検索
最終更新:2013年06月07日 12:09
添付ファイル
問7.jpg