一般化学Ⅱ

一般化学Ⅱのシケタイです。
試験日程は、
前半クラス:2/2(木)
後半クラス:2/1(水)
となっています。
演習問題と過去問を解いて試験勉強に役立ててください。
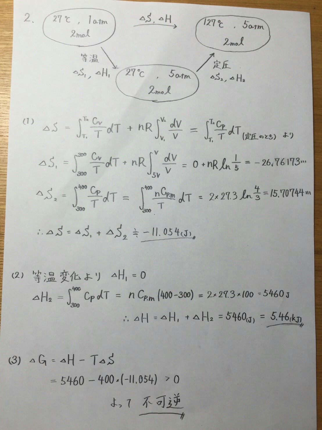
手塚先生によると、演習問題No.2のほうを重点的に解いた方がよさそうです.

演習問題No.1解答、演習問題No.2解答となっているほうが手塚先生からいただいた簡単な解説つきの答えで、
演習問題1解答、演習問題2解答となっているほうがやり方等まで詳しく書いてある方の答えになっています。
分かりづらくなってしまい、申し訳ないです。

【試験についての情報】
配点は公表しないが、7題構成で満点が130点くらい。点数を圧縮して130点を100点に換算することはしない。つまり、30点のゲタを履かせた状態の試験ということ。
出席状況(欠席回数)は、ボーダーラインの人の合否判定に利用する。

4題解ければ確実に合格。3題解ければ?には答えを濁したので、恐らく厳しい。

授業態度のよかった後半組の試験を簡単にしようと思って作ったが、結果的に簡単になったかどうかは分からない。

出題内容
1~4
熱力学 
いずれも計算問題

5~7
オービタル
共鳴構造式
R区画、I区画
いずれも計算問題ではない

先輩方のまとめプリントものせてありますので参照してください。

【訂正①】
演習問題No.2の5
①845℃→825℃
③845℃→825℃
だそうです。確認よろしくお願いします。

【訂正②】
演習問題No.2の1
載せていた解答の気体定数が間違っていたようなので、訂正版をのせました。
確認お願いします!

【訂正③】
演習問題No.1の5のb
1000℃→1000K
としてください。

注意!】
共鳴構造式で使う矢印と、化学反応式で使う矢印は意味が違うのでちゃんと使い分けてください!
このページに載せている解答のなかでも少しごちゃまぜに使ってしまっているところがありますので各自注意するようにしてください!
共鳴構造式:⇔
化学反応式:⇄
です!
最終更新:2017年01月30日 14:48
添付ファイル