増殖したディアボロモンのお掃除

『ぼくらのウォーゲーム』の作品で、完全体となったディアボロモンが増殖していくシーンです。
見たところ3秒ごとに前回の全体数の2倍になるように増殖していきます。ようするに、3秒ごとに、1→2→4→8→16→32→2n…というように増殖していきます。この合計は高校数学で習う等比数列の和で計算できます。
まず初項aは1です。公比rは3です。項nはいくらまであるかですが、これはおよその目安で求めることにしました。
ウォーグレイモンとメタルガルルモンが合体してオメガモンになった直後にいったん増殖しまくったディアボロモンが攻撃を行います。このとき攻撃と増殖を同時に行わないものと考えればこの時点で増殖を停止していると考えられます。
そして一度反撃を行ったときに表示された時計の時間は残り1分47秒でした。(ミリ秒は考えない)
タイマーが動いてすぐに増殖を始めたため、10分=600秒 1分47秒=107秒と考えると増殖していた間の時間は 600 - 107 = 493秒です。これが3秒ごとなので、493 / 3 = 164.333…となります。これを四捨五入して164としましょう。これでn=164と求めることができました。
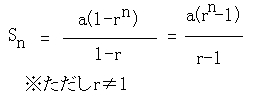
では等比数列の数式にあてはめて計算しましょう。外国語学部だけど基本的な高校数学くらいはできて当たり前なのよ?

S 164 = 1(1 - 3^164) / 1 - 3 = (-1.76964345 × 10^78) / (-2) = 8.84821725 × 10^77
でました。増殖したディアボロモンの総数は8.84821725 × 10^77体です。日本語で表しうる大きさの最大の単位は10^68までで、これは『無量大数』と呼ばれます。つまり、大きさの単位としては数えきれません(笑)
ちなみに暗号関連の情報を吸収しまくっている私としてはこのくらいの数は何か興味がひかれます。実は256bitの鍵長といい勝負をしています。
2^256 = 1.15792089 × 10^77ですから、実際にはこの鍵長に存在しうる数よりも少し上回る大きい数にまでディアボロモンは増殖したということですね。で、ディアボロモンが増殖を途中でやめて一斉攻撃したときには、オメガモンに無量大数で表される巨大な数の光線が四方八方から向けられたことになります。これをすべてまっすぐにはじき飛ばしてしまうだなんてちょっとあまりにもオーバースペック。
そして、攻撃をしていないで動き回っている状態でも増殖ができないのか残り時間1分47秒以降は増殖をしないままでした。
つまり何がいいたいかというと、なんでディアボロモンにメールが送れてしかもアットマークを3つつけるというRFC違反もバッチリな方法でなのか、そもそも毎分200通はくだらないであろうあの連続して送られてくるメールの数をどうやって転送したのか、メールを受信することでなぜオメガモンだけ(ウォーグレイモンとメタルガルルモンではない)が遅くなってしまうのか、そもそもメールを送ってくる人たちに対してメールを送らないでと悲観する光子郎はいちいちメールを受信する必要があったのかどうか(メールの受信は受動的な受信ではない)、なぜマイコン制御が効かなくなってケーキがこげちゃったのか、板チョコがなぜ100万円になったのか、オンラインでもない環境でなぜ値が書き換えられたのか、高石タケルのそばにいたおばあちゃんが驚いていたけどおばあちゃんから記憶を消さなくてもいいのか、核ミサイルが誤発射されたことはかなりの国際問題になるのではないか、なぜ水柱が立ちこめているのに窓辺にいた竹ノ内空はそれに気づかなかったのか、光子郎が持ってきた衛星電話なんて高価なものはパパのものなのか、そもそもパッケージに乗っている登場人物と一時的に姿を見せたほかのデジモンたちは最後の最後まで脇役で全くこの物語に必要性がないダミーだというのにどうしてさも全員で戦ったかのように壮大な絵柄で写されているのか、…など知りたくても真相が知られない疑問がたくさん挙がりました。

【追記】
ウィキペディアではこの記事の執筆時点でディアボロモンの増殖した全体数は数十万体程度と書かれていますがあきらかに数十万はくだらないでしょう。タイムカウント開始時点より最初の1分間だけでも、
S 20 = 1(1 - 3^20) / 1 - 3 = 1.7433922 × 10^9 (17億4339万2200体) となるのであきらかに数十万は超えています。
アニメに映ったものなのでこれは主観的にしか判断できませんし、客観的に判断してできていればすでにウィキペディアの頭の固い連中も気づいていたでしょう。しかしいくら主観的に目安としてみることしかできないとしても、数十万というのはあまりにもひどい見解ですね。ちゃんと計算しろよと。見た目だけでなんとかおよその見当を決めてやるというのはバードカフェの社長だけにしてください。
ところで計算には、Google大先生がやってくださいました。彼が計算式に忠実であれば計算はおそらく間違っていないと思われ。
最終更新:2011年02月02日 01:19
ツールボックス

下から選んでください:

新しいページを作成する
ヘルプ / FAQ もご覧ください。
添付ファイル