新規作成
新規ページ作成
新規ページ作成(その他)
このページをコピーして新規ページ作成
このウィキ内の別ページをコピーして新規ページ作成
このページの子ページを作成
新規ウィキ作成
編集
ページ編集
ページ編集(簡易版)
ページ名変更
メニュー非表示でページ編集
ページの閲覧/編集権限変更
ページの編集モード変更
このページにファイルをアップロード
メニューを編集
右メニューを編集
バージョン管理
最新版変更点(差分)
編集履歴(バックアップ)
アップロードファイル履歴
このページの操作履歴
このウィキのページ操作履歴
ページ一覧
ページ一覧
このウィキのタグ一覧
このウィキのタグ(更新順)
このページの全コメント一覧
このウィキの全コメント一覧
おまかせページ移動
RSS
このウィキの更新情報RSS
このウィキ新着ページRSS
ヘルプ
ご利用ガイド
Wiki初心者向けガイド(基本操作)
このウィキの管理者に連絡
運営会社に連絡(不具合、障害など)
オプション価格理論用語集 @ Wiki
操作ガイド
新規作成
編集する
全ページ一覧
登録/ログイン
オプション価格理論用語集 @ Wiki
操作ガイド
新規作成
編集する
全ページ一覧
登録/ログイン
オプション価格理論用語集 @ Wiki
メニュー
トップページ
プラグイン紹介
まとめサイト作成支援ツール
用語集
複製ポートフォリオ
裁定機会
1期間2項モデル
連続時間モデル
Risk-neutral Valuation Formula
ニューメレール
フィルトレーション
マルチンゲール
確率測度
ヨーロピアン・オプション
cash-or-nothingオプション
asset-or-nothingオプション
連続複利率
状態価格
リスク中立確率
確率論
確率空間
標本
標本空間
σ-集合体
事象
可測空間
リンク
@wiki
@wikiご利用ガイド
ここを編集
更新履歴
取得中です。
ここを編集
σ-集合体
補集合演算と可算回の和、積演算について閉じている部分集合族のクラス。
σ-field、σ-加法族とも呼ばれる。
以下のように定義される。
標本空間
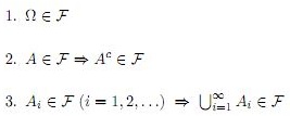
Ωの部分集合の集まりFが以下の条件を満たすならば、それはΩ上のσ-集合体である。
タグ:
+ タグ編集
タグ:
タグの更新に失敗しました
エラーが発生しました。ページを更新してください。
ページを更新
いいね!
「σ-集合体」をウィキ内検索
最終更新:2011年10月22日 23:05
添付ファイル
sigmafield.jpg