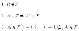
σ-集合体

非ログインユーザーのアップロードは許可されていません。
以下のボタンよりログインしてください。

ログイン


このウィキへの参加申請についてはこちらをご覧ください

  • @wikiでは「ページ」に対してファイルをアップロードします。
  • アップロードファイルが存在する「ページ一覧」はこちら
  • 「σ-集合体」のアップロードファイル履歴
  • アップロードできる1ファイルの最大サイズは※1MBまで可能です。
    (※それ以上のサイズをアップロードしたい場合は、Wiki管理ページの「ウィキ内共通利用ファイル管理」をご利用ください。)
  • 一度にアップロードできる画像数には制限があります。アップロードに失敗した場合はページの再読み込みなどをお試しください。
  • ウイルスの混入したファイルはアップロードできません。
    ウイルスが検出されたファイルをアップロードされたwikiは凍結対応させていただく可能性があります。
    上記の対策として、ログインユーザのみアップロード可能(初期設定)の設定にするなどをWiki管理設定でご対応お願いいたします。

σ-集合体」にアップロードされたファイル一覧

ファイル名 更新日時
sigmafield.jpg 2011/10/22 (土) 23:04:07