楕円の方程式メモ

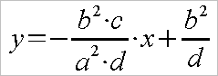
■楕円の接線の方程式(変形式)(a:X方向の半径、b:Y方向の半径、c:楕円上の点のX座標、d:楕円上の点のY座標)

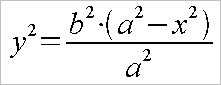
■楕円の方程式(変形式)(a:X方向の半径、b:Y方向の半径)


参考までに楕円の基本式も乗せておきます。

■楕円の方程式(基本形)(中心:原点、a:X方向の半径、b:Y方向の半径)

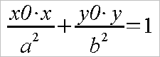
■楕円上の点(x0, y0)における接線の方程式

■傾きmの接線の方程式

最終更新:2008年02月11日 00:39
ツールボックス

下から選んでください:

新しいページを作成する
ヘルプ / FAQ もご覧ください。