微積分学B2

時間:火曜3限
担当:廣惠
出席:なし(中間レポート有り)

24生より>今年の担当は小寺先生でした。板書を含めたすべての資料がclassroomにあがるので本当に楽でした。

23生より>廣惠先生は優しいです。きちんと授業に出席して過去問も取り組めばテストは大丈夫です。ちなみに23年度の評価比率は レポート:試験=4:6 でした。

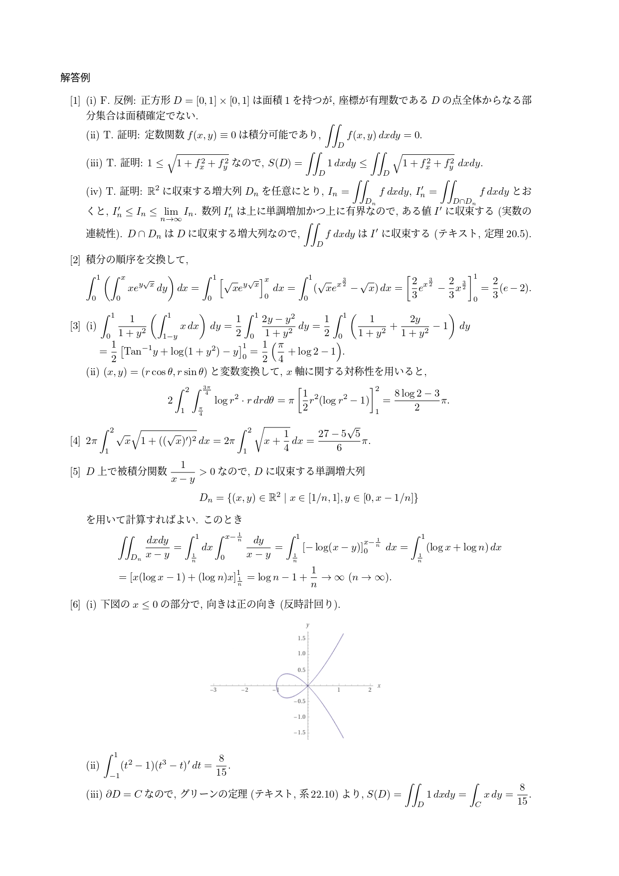
18生より>今井先生優しい。2次のヤコビアンさえ計算間違えた算数もできない私に単位くれたもん。とはいえGP稼ぎのためにも、余裕ぶっこきすぎて落単しないためにもきちんと勉強すべき科目。微積で習ったことが、2・3年で履修する人もいる化学数学(隔年開講/選択科目)とかで活きてくるかも。期末一発なので試験範囲は広め。

今井先生memo:板書が速いので要注意。いつもおしゃれ。プロデューサー巻きとかしてる。下の名前が淳なので、先生のいないところではイマジュンと呼ぶ学生も。学生に練習問題解かせてる時机の上に座りがち。


タグ:

+ タグ編集
  • タグ:
最終更新:2025年02月01日 14:06
ツールボックス

下から選んでください:

新しいページを作成する
ヘルプ / FAQ もご覧ください。