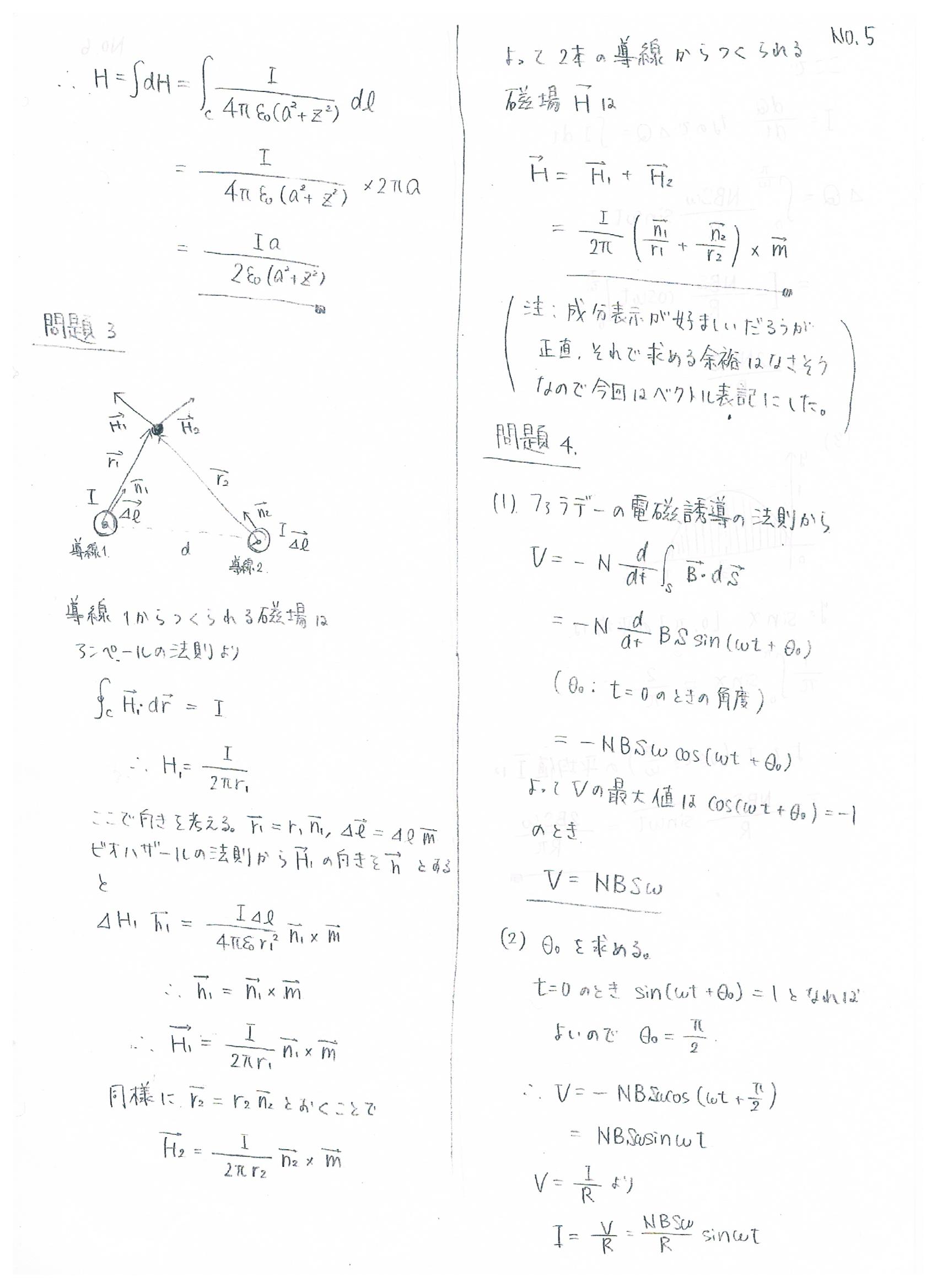
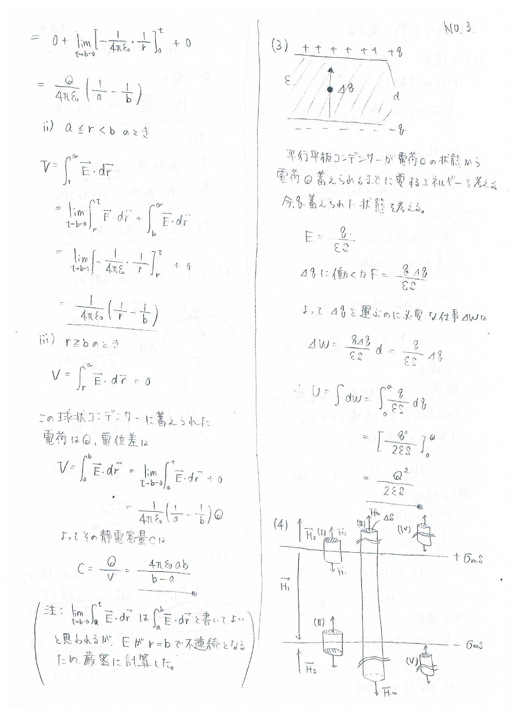
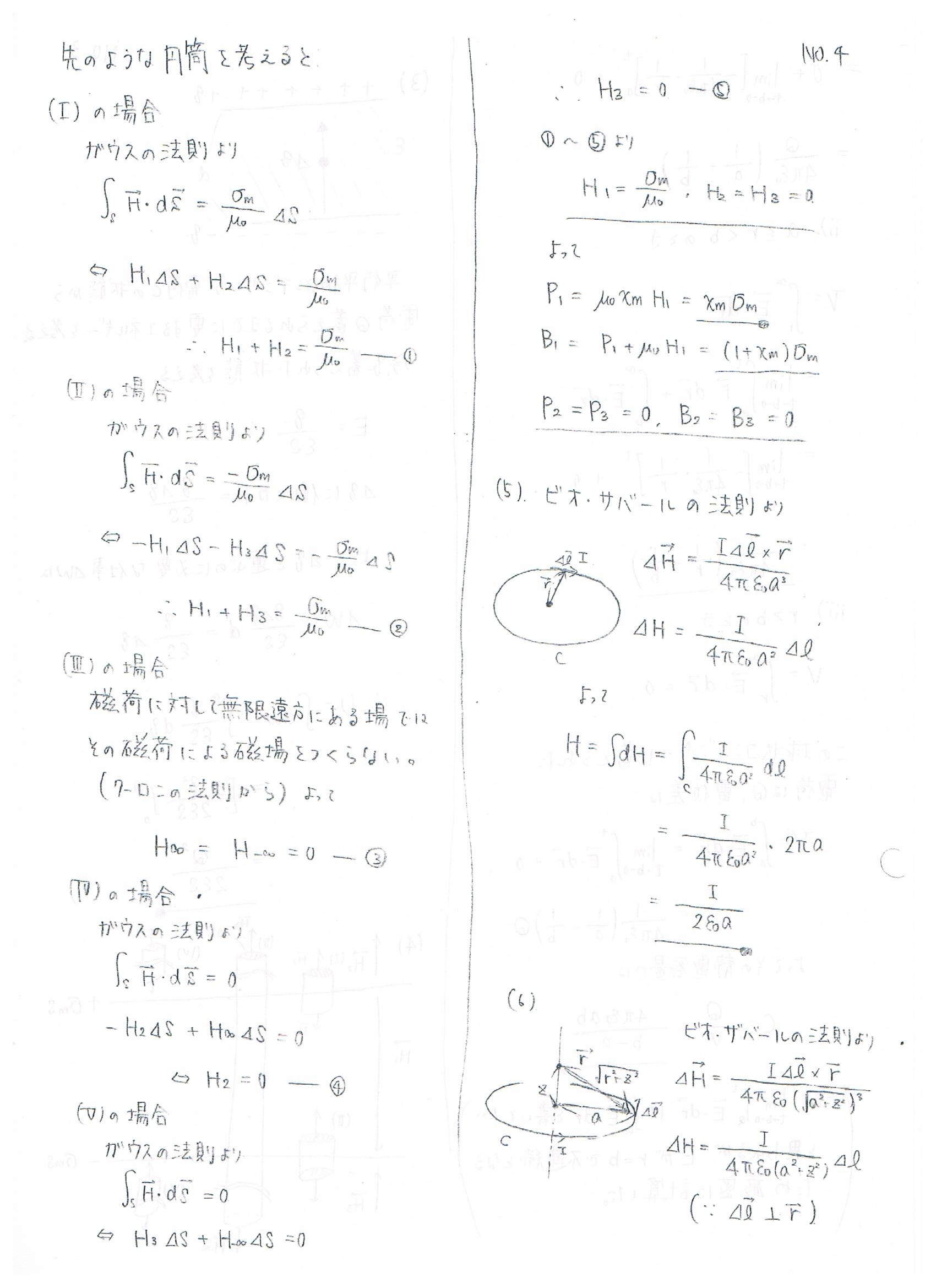
とりあえず、レポートの解答をアップします

1/28

10,11,12mの試験問題をいただきました。

今日中にはupできると思います(解答は期待しないで下さい…)

採点要領について

一番の問題については、物質中、真空中十分に区別すること。

D(電束密度)の説明もした方がよい。D=をいれた方が良い

二番は必ずレポートor教科書からの出題。

再試について

例年数人引っかかる模様(多いと13人ぐらいだったらしい)。

 

質問に行くと丁寧に教えてくださる先生です。わからなければ質問に行きましょう。

レポートの再提出可能(木曜日まで)

 

ってことで、upしました。

補足プリント4枚はしっかり目を通しておいてください(補足プリ①、②は12Mの問題1の(6)の答えとみてよいでしょう。)

この程度の記述が必要とされる、ことがわかります(樋口先生の解答です)。

なお12Mの問題4に関しては、”豆電球、モーター”とかで調べたら答えが出てくるそうです(小学生の実験らしい)。

12Mの問題5は完答した生徒が十人ちょっとだった、でも僕はあれだけ授業中注意した問題なのに!、と先生はおっしゃっていました(アンペール・マクスウェルの変位電流が磁場を作るやつです)。

あと一日しかありませんが、頑張りましょう。

タグ:

+ タグ編集
  • タグ:
最終更新:2014年01月28日 22:06